Table of Contents MathBits.com Terms of Use TI-84+ WebSite MathBits.com

Numerical Checks
for Multiple Choice Questions

The graphing calculator allows for several methods of checking or comparing multiple choice answers.  Let's look at the checking of algebraic problems using a numerical format.

Process:

  • Choose your "favorite" non-integer number (a decimal value) and store the value in x
    (keep the number simple).   To store 7.2:   7.2 sto x    (sto command is above key)
  • Hit

  • Enter the algebraic expression from the problem on the "calculator" screen using x as your variable. If the problem is using a, instead of x, you can enter a from the keyboard.
  • Hit to get your numerical value.

  • Enter each of the possible multiple choice answers on the home screen.
  • Hit to get their numerical values.

  • Find the answer that matches the answer from the original algebraic expression.

 

1. The product of 2x3 and 6x5 is
     (1) 10x8
     
(2) 12x8
     
(3) 10x15
     (4) 12x15
The number 7.2 was chosen as the "favorite" number.  Remember "product" means to multiply.  The given expression was entered, was hit, and the answer was 86664496.357.  The multiple choice responses were then checked to see which yields the same answer. Choice #2 was the Answer.
There is no need to check further, unless there is the possibility of more than one correct answer to a question.


 
2.  The sum of 3x2 + 4x - 2 and x2 - 5x + 3 is
      (1) 4x2 + x - 1
      (2) 4x2 - x + 1
      (3) 4x2 + x + 1
      (4) 4x2 - x  - 1
The number 7.2 was chosen.  The sum was entered.  was hit.  The multiple choice responses were entered until the matching response was found. Choice #2 was the Answer.


 
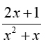
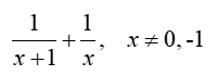
3.  Express as a single fraction:   
              

     (1)                       (2)  

     (3)                        (4) 

The number 7.2 was stored in x.  The given expression was entered.  was hit.  The multiple choice responses were entered. Choice #2 was a match.

 

divider
Table of Contents | MathBits.com | Terms of Use

Table of Contents MathBits.com Terms of Use TI-84+ web site